| Sign In | Join Free | My benadorassociates.com |
|
Brand Name : Zhuhai Feiyang
Model Number : Weather Resistance Mechanism of Polyaspartic
Certification : ISO 9001-2015, ISO 14001-2015
Place of Origin : Zhuhai, China
MOQ : 200kg
Payment Terms : L/C, T/T
Supply Ability : More than 20000 tons per year
Delivery Time : 7 days after orders comfirmed
Packaging Details : 200kgs net weight in a steel drum
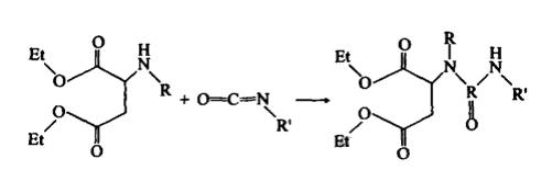
The weather resistance of polyaspartic originates from its unique chemical structure, choice of material components, and cross-linked network properties, enabling long-term stability under complex environmental conditions such as ultraviolet (UV) radiation, temperature fluctuations, humidity, and chemical corrosion.
UV resistance: Polyaspartic employs aliphatic isocyanates (such as HDI and IPDI) that contain no benzene-ring conjugated structures, thus avoiding UV-induced oxidation reactions. (Traditional aromatic isocyanates such as TDI and MDI easily yellow and degrade due to benzene-ring oxidation.)
Molecular stability: Saturated aliphatic carbon-chain bonds (C-C, C-N) have high bond energy, requiring greater energy to break, thereby offering significantly improved photo-aging resistance compared to traditional materials.
After curing, polyaspartic forms a highly cross-linked network structure, characterized by strong intermolecular forces. This effectively prevents penetration of oxygen, moisture, and corrosive substances, thus delaying oxidation and hydrolysis reactions.
High cross-linking density: The small spacing (nanometer scale) between cross-linking points restricts molecular movement and minimizes micro-cracking caused by thermal expansion and contraction.

Photo stability: The C-N bond in aliphatic isocyanates has weak UV absorption, and polyaspartic coatings can incorporate UV absorbers (such as benzotriazoles) to further reflect or absorb UV energy.
Test data: In QUV accelerated aging tests (ASTM G154), polyaspartic coatings exhibited gloss retention >90% and a yellowing index (ΔE) <1.5 after 3,000 hours (traditional polyurethane ΔE >5).
Wide temperature adaptability: Operational temperature range of -50°C to 150°C, achieved by balancing flexibility and rigidity within the cross-linked network:
At low temperatures, (-O-) within the molecular chains provide flexibility, preventing brittleness.
At high temperatures, cross-linked structures restrict molecular thermal movement, preventing softening and deformation.
Example: Bridge coatings in extremely cold regions (e.g., Northern Europe) showed no cracking or peeling after 10 years.
Hydrophobic surface: Coating contact angle >100°, reducing moisture adsorption and delaying electrochemical corrosion of metal substrates.
Salt spray resistance: Passed ASTM B117 tests with no blistering or rusting after 5,000 hours (traditional epoxy coatings fail after 2,000 hours).
Antioxidant addition: Hindered amine light stabilizers (HALS) capture free radicals, interrupting oxidation chain reactions.
Chemical resistance: The dense cross-linked network effectively resists permeation of acids (10% H₂SO₄), alkalis (5% NaOH), and salts.


Roof waterproofing: After 10 years of exposure in tropical areas (e.g., Singapore), coatings showed no cracking or yellowing.
Exterior wall decoration: Color retention rate >95%, requiring less frequent repainting.
Cross-sea bridges: In coastal environments with high humidity and salt spray, protective coating lifespan reaches 20 years (traditional coatings require renovation every 5 years).
Airport runways: Withstanding freeze-thaw cycles exceeding 300 cycles within a temperature range of -40°C to 60°C (GB/T 50082-2009).
Photovoltaic brackets: UV and temperature difference resistant, ensuring coating integrity throughout the 25-year power generation cycle.
Wind turbine blades: Resisting sand erosion and minimizing efficiency losses due to surface abrasion.

Adding nano-silica (SiO₂) or zinc oxide (ZnO) improves UV shielding efficiency and coating hardness.
Utilizing plant-derived aliphatic isocyanates (such as castor oil derivatives) achieves both environmental friendliness and weather resistance.
Developing temperature- or light-sensitive self-healing coatings that can automatically repair microcracks under external stimuli, extending service life.
The weather resistance of polyaspartic results from the synergy of aliphatic chemical structure, high cross-link density, and functional additives. By preventing UV degradation, resisting thermal stresses, and shielding against corrosive substances, polyaspartic demonstrates exceptional durability under harsh environments, becoming the preferred material for long-term outdoor protection. With ongoing developments in material science, the weather resistance of polyaspartic will further improve, providing reliable solutions for increasingly complex applications.
Feiyang has been specializing in the production of raw materials for polyaspartic coatings for 30 years and can provide polyaspartic resins, hardeners and coating formulations.
Feel free to contact us: marketing@feiyang.com.cn
Our products list:
Contact our technical team today to explore how Feiyang Protech’s advanced polyaspartic solutions can transform your coatings strategy. Contact our Tech Team
|
|
Weather Resistance Mechanism of Polyaspartic Images |